zurück Überblick weiter

Die Einbettung von Daten

Der Grundgedanke der nichtlinearen Zeitreihenanalyse ist, dass der Messung ein deterministisches dynamisches System zugrunde liegt. Dieses kann etwa durch ein System von Differentialgleichungen

System von
Differentialgleichungen
gegeben sein. d ist hierbei die Dimension des Systems.

Die Lösung dieses Gleichungssystems beschreibt die Bewegung (die Trajektorie) in d Dimensionen.

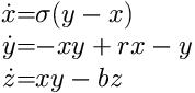
Beispiel: Die Lorenz-Gleichungen
Die Lorenz Gleichungen Der Lorenz Attraktor
Die Parameterwerte Der Lorenz Attraktor

Hierbei gilt, aus dem Wert zum Zeitpunkt t0 folgt eindeutig der Wert zum Zeitpunkt t1.

Bei einer Messung, werden typischerweise nicht alle Koordinaten gemessen. Dies führt dazu, dass die Zukunft nicht mehr eindeutig aus den Messdaten herleitbar ist. Dies sieht man sehr deutlich an der folgenden Graphik